beat365唯一官网 您当前的位置:首页 > 招就办 > 就业信息网 > 通知公告

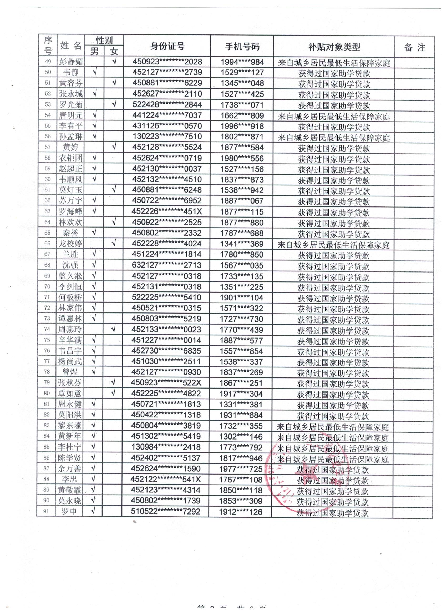
beat365唯一官网2025届毕业生一次性求职补贴通过条件审核学生名单(第三批)公示

[ 作者:庞泳 |来源:招生就业处| 时间:2025-05-30 11:08:44 | 浏览:次]

Copyright© 2007.4-2025.4 版权所有 beat·365(中国区) - 唯一官网   网站备案/许可证号:桂ICP备  桂公网安备45102302000022  维护:网电中心

学校地址:广西平果市大学城大学路1号 电话:0776-5680888 邮编:531499

校办电话:0776-5588685/5588681传真5588696

     

学校微信